CF680B Bear and Finding Criminals
题目描述
Bearland 有 $n$ 个城市,编号为 $1$ 到 $n$。所有城市排成一条直线。第 $i$ 个城市和第 $j$ 个城市之间的距离为 $|i-j|$。
Limak 是一名警察。他住在第 $a$ 个城市。他的工作是抓捕罪犯。困难在于,他并不知道每个城市里是否有罪犯。不过,他知道每个城市里最多只有一个罪犯。
Limak 准备用一个“熊探罪犯检测仪”(BCD,Bear Criminal Detector)。BCD 会告诉 Limak,从城市 $a$ 出发,每个距离上有多少个罪犯。之后,Limak 能在那些可以确定有罪犯的城市里抓住他们。
你知道每个城市里是否有罪犯。请计算 Limak 在使用 BCD 后,最多能抓住多少个罪犯。
输入格式
输入的第一行包含两个整数 $n$ 和 $a$($1 \leq a \leq n \leq 100$),分别表示城市的数量和 Limak 所居住城市的编号。
输入的第二行有 $n$ 个整数 $t_1, t_2, \ldots, t_n$($0 \leq t_i \leq 1$),表示第 $i$ 个城市是否有罪犯。$t_i=1$ 表示有罪犯,$t_i=0$ 表示没有。
输出格式
输出 Limak 能抓到的罪犯数量。
说明/提示
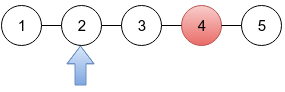
在第一个样例中,有六个城市,Limak 住在第三个城市(下图蓝色箭头所示)。犯罪分子分布在红色标记的城市。

使用 BCD 后,Limak 获得了如下信息:
- 距离第 3 个城市 0 的地方有 1 个罪犯——Limak 可以确定这个罪犯就在第 3 个城市。
- 距离第 3 个城市 1 的地方有 1 个罪犯——Limak 不知道罪犯是在第 2 个城市还是第 4 个城市。
- 距离第 3 个城市 2 的地方有 2 个罪犯——Limak 能确定一个在第 1 个城市,另一个在第 5 个城市。
- 所有更远的距离均没有罪犯。
因此,Limak 能在第 1、3、5 号城市抓到罪犯,共 $3$ 个。
在第二个样例中(见下图),BCD 通知 Limak 在距离本城市 2 的地方有 1 个罪犯。并且只有一个城市与本城市距离为 2,因此 Limak 能确定罪犯在哪个城市。

由 ChatGPT 5 翻译