New Year and Finding Roots
题意翻译
题目描述
这是一道交互题
有一棵高度为$h$的有根完全二叉树,点的编号从$1$到$2^h-1$。每一次你可以询问某一个点在树上的邻居,现在请你使用不超过$16$次询问找到树根。
输入数据
第一行一个正整数$t(1 \leq t \leq 500)$表示数据组数
接下来在每一组数据的交互开始之前会给出树高$h(2 \leq h \leq 7)$
交互实现
每一个询问输出格式为:“? $x$”(不带引号)表示询问点$x$的邻居。输出之后$flush$你的输出并从标准输入中输入询问的答案
询问的答案包括两行:第一行一个整数$k(1 \leq k \leq 3)$表示点$x$的邻居个数,第二行$k$个整数表示$x$的邻居。
在不超过$16$次询问之后,你需要输出"! $y$"(不包含引号)表示你找到的树根为$y$号节点,输出一个换行,然后$flush$你的输出。
如果你需要$flush$输出,可以使用下面的函数:
对于C++,使用fflush(stdout);
对于Java,使用System.out.flush();
对于Python使用stdout.flush();
对于Pascal使用flush(output);
对于其他语言参见对应语言的函数声明
如果输入中出现了$h=0$或者$k=0$的情况,表示交互程序输入了非法数据,已经无法继续进行交互,此时请立即结束程序,否则你的程序结果会是不可预料的结果(反正不会是AC)。
题目描述
This is an interactive problem. In the interaction section below you will find the information about flushing the output.
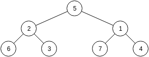
The New Year tree of height $ h $ is a perfect binary tree with vertices numbered $ 1 $ through $ 2^{h}-1 $ in some order. In this problem we assume that $ h $ is at least $ 2 $ . The drawing below shows one example New Year tree of height $ 3 $ :
Polar bears love decorating the New Year tree and Limak is no exception. To decorate the tree, he must first find its root, i.e. a vertex with exactly two neighbours (assuming that $ h>=2 $ ). It won't be easy because Limak is a little bear and he doesn't even see the whole tree. Can you help him?
There are $ t $ testcases. In each testcase, you should first read $ h $ from the input. Then you can ask at most $ 16 $ questions of format "? x" (without quotes), where $ x $ is an integer between $ 1 $ and $ 2^{h}-1 $ , inclusive. As a reply you will get the list of neighbours of vertex $ x $ (more details in the "Interaction" section below). For example, for a tree on the drawing above after asking "? 1" you would get a response with $ 3 $ neighbours: $ 4 $ , $ 5 $ and $ 7 $ . Your goal is to find the index of the root $ y $ and print it in the format "! y". You will be able to read $ h $ for a next testcase only after printing the answer in a previous testcase and flushing the output.
Each tree is fixed from the beginning and it doesn't change during your questions.
输入输出格式
输入格式
The first line of the input contains a single integer $ t $ ( $ 1<=t<=500 $ ) — the number of testcases.
At the beginning of each testcase you should read from the input a single integer $ h $ ( $ 2<=h<=7 $ ) — the height of the tree. You can't read the value of $ h $ in a next testcase until you answer a previous testcase.
输出格式
To ask a question about neighbours of vertex $ x $ , print "? x" (without quotes) on a separate line. Note, you must print an end-of-line character after the last character of the line and flush your output to get a response.
The response will consist of two lines. The first line will contain a single integer $ k $ ( $ 1<=k<=3 $ ) — the number of neighbours of vertex $ x $ . The second line will contain $ k $ distinct integers $ t_{1},...,t_{k} $ ( $ 1<=t_{1}<...<t_{k}<=2^{h}-1 $ ) — indices of neighbours of vertex $ x $ , gives in the increasing order.
After asking at most $ 16 $ questions you have to say $ y $ — the index of the root. Print "! y" (without quotes) and an end-of-line character, and flush the output.
Each tree is fixed from the beginning and it doesn't change during your questions.
You can get Idleness Limit Exceeded if you don't print anything or if you forget to flush the output.
To flush you can use (just printing a query/answer and end-of-line):
- fflush(stdout) in C++;
- System.out.flush() in Java;
- stdout.flush() in Python;
- flush(output) in Pascal;
- See the documentation for other languages.
In any moment if the program reads $ h=0 $ or $ k=0 $ it should immediately terminate normally (for example, calling exit(0)). It means that the system detected incorrect request/output from your program and printed 0 because if can't process your requests anymore. In this case you'll receive verdict "Wrong Answer", but if you ignore case $ h=0 $ or $ k=0 $ it could lead to "Runtime Error", "Time/Memory limit exceeded" or any other verdict because your program could read a trash from the closed input stream.
Hacking. To hack someone, use the following format:
The first line should contain a single integer $ t $ equal to $ 1 $ (only one testcase is allowed in hacks). The second line should contain a single integer $ h $ . Each of next $ 2^{h}-2 $ lines should contain two distinct integers $ a_{i} $ and $ b_{i} $ ( $ 1<=a_{i},b_{i}<=2^{h}-1 $ ), denoting two nodes connected with an edge. The printed edges must form a perfect binary tree of height $ h $ .
Of course, contestant programs will not be able to see this input.
输入输出样例
输入样例 #1
1
3
3
4 5 7
2
1 2
1
2
输出样例 #1
? 1
? 5
? 6
! 5
输入样例 #2
2
2
1
3
2
1 2
2
1 2
4
3
3 12 13
输出样例 #2
? 1
? 3
? 3
! 3
? 6
! 1
说明
In the first sample, a tree corresponds to the drawing from the statement.
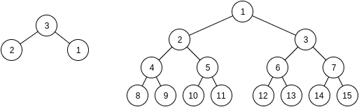
In the second sample, there are two two testcases. A tree in the first testcase has height $ 2 $ and thus $ 3 $ vertices. A tree in the second testcase has height $ 4 $ and thus $ 15 $ vertices. You can see both trees on the drawing below.
