CF814E An unavoidable detour for home
题目描述
那些在长途旅行后不愿回家的人,将会受到蜗牛怪异的影响而迷失方向。怪异的携带者 Mayoi 并不希望这样的事情发生,但在找到解决方法之前,对此无能为力。现在,她只想知道,如果有人迷路了,将会面对多少种可能的情况。
在这个地区有 $n$ 个城镇,编号从 $1$ 到 $n$。编号为 $1$ 的城镇称为首都。交通网络由连通若干对城镇的双向道路组成。没有两条道路连接同一对城镇,也没有某条道路连接自身。每条道路所需的通行时间相同。迷路的旅行者无法分辨城镇之间的连接方式,但居民可以提供以下信息:
- 从除了首都以外的每个城镇开始,通往首都的最短路径(即经过道路最少的路径)都存在且唯一;
- 设 $l_{i}$ 表示从城镇 $i$ 到首都的最短路径所经过的道路数,则对于所有 $2 \leq i \leq n$ 都有 $l_{i} \geq l_{i-1}$;
- 对于城镇 $i$,其连接的道路数用 $d_{i}$ 表示,$d_{i}$ 只能是 $2$ 或 $3$。
请你计算有多少种不同的方式可以连接这些城镇,并输出答案对 $10^9+7$ 取模。不同行的连通方式只要存在一对 $(u,v)$($1 \leq u,v \leq n$),使得在一种方式中 $u$ 和 $v$ 之间有道路而另一种没有,就认为是不同的。
输入格式
第一行输入一个正整数 $n$($3 \leq n \leq 50$),表示城镇的数量。
第二行输入 $n$ 个用空格分隔的整数 $d_{1},d_{2},...,d_{n}$($2 \leq d_{i} \leq 3$),分别表示 $1,2,...,n$ 号城镇连接的道路数。保证所有 $d_{i}$ 之和为偶数。
输出格式
输出一个整数,表示满足条件的不同连通方式的总数,对 $10^9+7$ 取模。
说明/提示
在第一个样例中,只有如下结构满足所有约束条件,城镇 $2,3,4$ 到首都的距离都是 $1$。

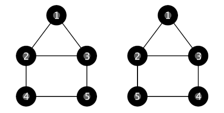
在第二个样例中,以下两种结构都满足约束条件。

由 ChatGPT 5 翻译