CF847L Berland SU Computer Network
题目描述
在 Berland 州立大学的计算机网络中,有 $n$ 个路由器,编号从 $1$ 到 $n$。有些路由器通过网线(patch cord)两两相连。信息可以在网线上双向传输。该网络结构保证任意两个路由器之间(直接或间接)都可以通信。网络没有环,因此每对路由器之间通过网线的路径唯一。
不幸的是,管理员丢失了网络的具体拓扑结构。为了恢复拓扑结构,收集到了以下辅助信息。
对于每条直接连接到路由器 $i$ 的网线 $p$,都知道相对于 $i$ 而言位于网线 $p$ 后方的路由器列表。换言之,所有从这些路由器到路由器 $i$ 的路径都经过 $p$。因此,对于每个路由器 $i$,有 $k_i$ 个列表,其中 $k_i$ 是连接到 $i$ 的网线数量。
例如,若网络由 $1$、$2$、$3$ 三个路由器组成,并按链式结构 $1-2-3$ 连接:
- 路由器 $1$:唯一一条网线,其后方列表包含 $2$ 和 $3$。
- 路由器 $2$:每条网线都有一个列表,一个列表包含 $1$,另一个包含 $3$。
- 路由器 $3$:唯一一条网线,其后方列表包含 $1$ 和 $2$。
你的任务是帮助管理员恢复网络拓扑,即确定所有通过网线直接相连的路由器对。
输入格式
第一行包含一个整数 $n$($2 \leq n \leq 1000$),表示网络中的路由器数量。
接下来的 $n$ 行中,第 $i$ 行描述了路由器 $i$ 的所有列表。
每个列表先给出路由器数量,然后是一个冒号 ':',随后是该列表中路由器的编号,编号间用逗号分隔。各个列表之间用符号 '-' 分隔。
保证对于每个路由器 $i$,所有列表中路由器的总数为 $n-1$,且列表中的所有编号互不相同。每个列表中不包含编号 $i$ 的路由器。
输出格式
如果不存在满足条件的网络结构,输出 $-1$。
否则,第一行输出 $n-1$,即网线总数。之后的 $n-1$ 行中,每行输出一对通过网线直接相连的路由器编号。每条网线仅输出一次,顺序不限。
说明/提示
第一个样例已在题目描述中分析。
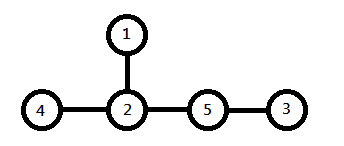
第二个样例的答案如下图所示。

第一个路由器有一个列表,包含了所有其它路由器。第二个路由器有三个列表:第一个只包含路由器 $4$,第二个只包含路由器 $1$,第三个包含路由器 $3$ 和 $5$。第三个路由器有一个列表,包含所有其它路由器。第四个路由器同样有一个列表,包含了所有其它路由器。第五个路由器有两个列表:第一个只包含路由器 $3$,第二个包含路由器 $1$、$2$ 和 $4$。
由 ChatGPT 5 翻译