CF871E Restore the Tree
题目描述
Petya 有一棵包含 $n$ 个顶点的树,这些顶点编号为 $1$ 到 $n$ 的整数。不小心,他把树弄丢了。
Petya 还记得关于 $k$ 个顶点的信息:从每一个这样的顶点到树上每一个顶点的距离。
你的任务是还原出任意一棵符合 Petya 记忆中信息的树,或者报告无解。
输入格式
第一行包含两个整数 $n$ 和 $k$($2 \leq n \leq 30000$,$1 \leq k \leq \min(200,n)$),分别表示树的顶点数以及 Petya 记得距离信息的顶点数。
接下来的 $k$ 行中,每行包含 $n$ 个整数 $d_{i,1}, d_{i,2}, \dots, d_{i,n}$($0 \leq d_{i,j} \leq n-1$),其中 $d_{i,j}$ 表示从 Petya 记得的第 $i$ 个顶点到第 $j$ 个顶点的距离。
输出格式
如果不存在满足条件的树,输出 $-1$。
否则,输出 $n-1$ 行,每行包含两个被树的边连接的顶点编号。你可以按照任意顺序输出边及边中两个顶点的顺序,树的顶点编号为 $1$ 到 $n$。
如果有多种方案,输出其中任意一种都可以。
说明/提示
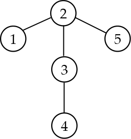
第一个样例的示意图:

由 ChatGPT 5 翻译