P15955 [ICPC 2018 Jakarta R] Artilleries and Defensive Walls
题目描述
索维尔与其邻国诺兰之间爆发了一场毁灭性的战争,这场战争已持续数百年。两国的边界可以表示为一条水平的直线 $y = 0$,其中 $y < 0$ 的区域属于索维尔,$y > 0$ 的区域属于诺兰。
诺兰在位置 $(x_i, y_i)$($y_i > 0$)部署了 $N$ 门火炮。此外,诺兰还修建了 $M$ 道防御墙。每道防御墙可以表示为一个三元组 $\langle x_{j1}, x_{j2}, y_j \rangle$,即一条从 $(x_{j1}, y_j)$ 到 $(x_{j2}, y_j)$ 的水平线段,其中 $x_{j1} < x_{j2}$ 且 $y_j > 0$。索维尔已知,诺兰的火炮不会位于任何防御墙(包括其端点)上,且没有两门火炮位于同一位置。另外,也没有两道墙(包括其端点)有公共点。
索维尔决定建造一座瞭望塔,以观察诺兰火炮的任何可疑活动。由于建造一座瞭望塔的成本对于索维尔来说几乎是天文数字,他们只能负担得起一座。因此,他们提出了 $Q$ 个候选位置 $(x_k, y_k)$($y_k < 0$)来建造瞭望塔。如果瞭望塔建在 $(x, y)$,则所有位于从 $(x, y)$ 出发的 **视线** 上的火炮都能被瞭望塔观察到(即可见)。一个位置 $(x_i, y_i)$ 位于从 $(x, y)$ 出发的视线上,当且仅当连接 $(x_i, y_i)$ 和 $(x, y)$ 的直线不与任何防御墙(包括其端点)相交;换句话说,不存在点 $(x', y')$ 同时位于某道防御墙上和线段 $(x_i, y_i)$ 与 $(x, y)$ 之间。注意,一门火炮不会影响其他火炮从瞭望塔观察的可见性。
本题的任务是,对于每个提出的瞭望塔候选位置,确定能够从该位置观察到的诺兰火炮的数量。
输入格式
输入的第一行包含三个整数:$N$、$M$ 和 $Q$($1 \leq N \leq 40000$;$0 \leq M \leq 5$;$1 \leq Q \leq 40000$),分别表示火炮的数量、防御墙的数量以及瞭望塔候选位置的数量。接下来的 $N$ 行,每行包含两个整数:$x_i$ 和 $y_i$($-10^6 \leq x_i \leq 10^6$;$0 < y_i \leq 10^6$),表示第 $i$ 门火炮的位置,其中 $i = 1 \ldots N$。接下来的 $M$ 行,每行包含三个整数:$x_{j1}$、$x_{j2}$ 和 $y_j$($-10^6 \leq x_{j1} < x_{j2} \leq 10^6$;$0 < y_j \leq 10^6$),表示第 $j$ 道防御墙的位置,其中 $j = 1 \ldots M$。接下来的 $Q$ 行,每行包含两个整数:$x_k$ 和 $y_k$($-10^6 \leq x_k \leq 10^6$;$-10^6 \leq y_k < 0$),表示一个瞭望塔的候选位置。
输出格式
对于每个输入的瞭望塔候选位置,按输入顺序,输出一行一个整数,表示从该候选位置能观察到的诺兰火炮数量。
说明/提示
**样例输入/输出的解释**
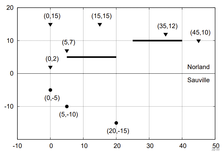
所有火炮、防御墙和瞭望塔候选位置如下图所示。
:::align{center}

:::
- 第一个瞭望塔候选位置 $(0, -5)$ 可以观察到 $4$ 门火炮,即位于 $(0, 2)$、$(0, 15)$、$(5, 7)$ 和 $(45, 10)$ 的火炮。
- 第二个瞭望塔候选位置 $(5, -10)$ 可以观察到 $3$ 门火炮,即位于 $(0, 2)$、$(0, 15)$ 和 $(45, 10)$ 的火炮。
- 第三个瞭望塔候选位置 $(20, -15)$ 可以观察到 $2$ 门火炮,即位于 $(0, 2)$ 和 $(45, 10)$ 的火炮。
翻译由 DeepSeek V3.2 完成