P16066 [CSPro 32] 树上搜索
题目背景
洛谷的测试数据仅供民间交流使用,非官方测试数据。官方评测链接:。
题目描述
西西艾弗岛大数据中心为了收集用于模型训练的数据,推出了一项自愿数据贡献的系统。岛上的居民可以登录该系统,回答系统提出的问题,从而为大数据中心提供数据。为了保证数据的质量,系统会评估回答的正确性,如果回答正确,系统会给予一定的奖励。
近期,大数据中心需要收集一批关于名词分类的数据。系统中会预先设置若干个名词类别,这些名词类别存在一定的层次关系。例如,“动物”是“生物”的次级类别,“鱼类”是“动物”的次级类别,“鸟类”是“动物”的次级类别,“鱼类”和“鸟类”是“动物”下的邻居类别。这些名词类别可以被按树形组织起来,即除了根类别外,每个类别都有且仅有一个上级类别。 并且所有的名词都可以被归类到某个类别中,即每个名词都有且仅有一个类别与其对应。一个类别的后代类别的定义是:若该类别没有次级类别,则该类别没有后代类别;否则该类别的后代类别为该类别的所有次级类别,以及其所有次级类别的后代类别。
下图示意性地说明了标有星号的类别的次级类别和后代类别。
:::align{center}

:::
系统向用户提出问题的形式是:某名词是否属于某类别,而用户可以选择“是”或“否”来回答问题。该问题的含义是:某名词是否可以被归类到某类别或其后代类别中。
例如,要确定名词“鳕鱼”的类别,系统会向用户提出“鳕鱼是否属于动物”,当用户选择“是”时,系统会进一步询问“鳕鱼是否属于鱼类”,当用户选择“是”时,即可确定“鳕鱼”可以被归类到“鱼类”这一类别。
此外,如果没有更具体的分类,某一名词也可以被归类到非叶子结点的类别中。例如,要确定“猫”的类别,系统可以向用户提出“猫是否属于动物”,当用户选择“是”时,系统会进一步分别询问“猫”是否属于“鱼类”和“鸟类”,当两个问题收到了否定的答案后,系统会确定“猫”的类别是“动物”。
大数据中心根据此前的经验,已经知道了一个名词属于各个类别的可能性大小。为了用尽量少的问题确定某一名词的类别,大数据中心希望小 C 来设计一个方法,以减少系统向用户提出的问题的数量。
小 C 观察了事先收集到的数据,并加以统计,得到了一个名词属于各个类别的可能性大小的信息。具体而言,每个类别都可以赋予一个被称为权重的值,值越大,说明一个名词属于该类别的可能性越大。由于每次向用户的询问可以获得两种回答,小 C 联想到了二分策略。他设计的策略如下:
1. 对于每一个类别,统计它和其全部后代类别的权重之和,同时统计其余全部类别的权重之和,并求二者差值的绝对值,计为 $w_\delta$;
2. 选择 $w_\delta$ 最小的类别,如果有多个,则选取编号最小的那一个,向用户询问名词是否属于该类别;
3. 如果用户回答“是”,则仅保留该类别及其后代类别,否则仅保留其余类别;
4. 重复步骤 1,直到只剩下一个类别,此时即可确定名词的类别。
小 C 请你帮忙编写一个程序,来测试这个策略的有效性。你的程序首先读取到所有的类别及其上级次级关系,以及每个类别的权重。你的程序需要测试对于被归类到给定类别的名词,按照上述策略提问,向用户提出的所有问题。
输入格式
从标准输入读入数据。
输入的第一行包含空格分隔的两个正整数 $n$ 和 $m$,分别表示全部类别的数量和需要测试的类别的数量。所有的类别从 $1$ 到 $n$ 编号,其中编号为 $1$ 的是根类别。
输入的第二行包含 $n$ 个空格分隔的正整数 $w_1, w_2, \ldots, w_n$,其中第 $i$ 个数 $w_i$ 表示编号为 $i$ 的类别的权重。
输入的第三行包含 $(n - 1)$ 个空格分隔的正整数 $p_2, p_3, \ldots, p_n$,其中第 $i$ 个数 $p_{i+1}$ 表示编号为 $(i + 1)$ 的类别的上级类别的编号,其中 $p_i \in [1, n]$。
接下来输入 $m$ 行,每行一个正整数,表示需要测试的类别编号。
输出格式
输出 $m$ 行,每行表示对一个被测试的类别的测试结果。表示按小 C 的询问策略,对属于给定的被测类别的名词,需要依次向用户提出的问题。
每行包含若干空格分隔的正整数,每个正整数表示一个问题中包含的类别的编号,按照提问的顺序输出。
说明/提示
### 样例 1 解释
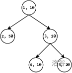
上述输入数据所表示的类别关系如下图所示,同时各个类别的权重也标注在了图上。
:::align{center}

:::
对于归类于类别 $5$ 的某个名词,按照上述询问策略,应当对于树上的每个节点,都计算 $w_\delta$ 的值,对于类别 $1$ 至 $5$,得到的 $w_\delta$ 分别为:$100$、$0$、$20$、$80$、$60$。因此首先就类别 $2$ 提问。由于类别 $5$ 不属于类别 $2$ 的后代类别,因此用户回答“否”,此时去除类别 $2$ 和其全部后代类别,仅保留类别 $1$、$3$、$4$、$5$。对于剩下的类别,计算 $w_\delta$ 的值,得到的 $w_\delta$ 分别为:$50$、$30$、$30$、$10$。因此再就类别 $5$ 提问。由于类别 $5$ 就是被提问的名词所属类别,因此用户回答“是”,此时仅保留类别 $5$ 和其全部后代类别。我们发现,这个时候,只剩下类别 $5$,因此算法结束。上述过程如下图所示:
:::align{center}

:::
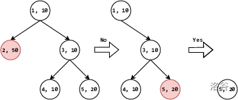
对于归类于类别 $3$ 的某个名词,按照上述询问策略,依次对类别 $2$、$5$ 提问,过程与前述一致。但是由于类别 $3$ 不属于类别 $2$ 的后代类别,用户回答“否”,此时应当去掉类别 $5$ 和其后代类别,仅保留类别 $1$、$3$、$4$。分别计算 $w_\delta$ 得:$30$、$10$、$10$。此时应当选择编号较小的类别 $3$ 提问。由于类别 $3$ 就是被提问的名词所属类别,因此用户回答“是”,此时仅保留类别 $3$ 和其全部后代类别。我们发现,这个时候,并非只剩下一个类别,因此算法还应继续进行。剩下的类别有 $3$、$4$,分别计算 $w_\delta$ 得:$20$、$0$。因此再就类别 $4$ 提问。由于类别 $3$ 不属于类别 $4$ 的后代类别,用户回答“否”,此时应当去掉类别 $4$ 和其后代类别,仅保留类别 $3$。我们发现,这个时候,只剩下类别 $3$,因此算法结束。上述过程如下图所示:
:::align{center}

:::
### 子任务
对 $20\%$ 的数据,各个类别的权重相等,且每个类别的上级类别都是根类别;
对另外 $20\%$ 的数据,每个类别的权重相等,且每个类别至多有一个下级类别;
对 $60\%$ 的数据,有 $n \le 100$,且 $m \le 10$;
对 $100\%$ 的数据,有 $n \le 2000$,$m \le 100$,且 $w_i \le 10^7$。
说明(原题面未指出):前 $40\%$ 的数据也满足 $n \le 100$,且 $m \le 10$。