P16115 [USTCPC 2026] Climbing Tree
题目背景
克露丝卡尔酱今天也在社团教室里对着白板苦思冥想。
“唔…树上走来走去的,最后要回到起点什么的,真的存在这样的树吗?”
后辈好奇地探过头来:“前辈又在研究奇怪的问题了呢?”
“才不是奇怪呢!”克露丝卡尔酱鼓起脸颊,“这可是能决定我能否回到原点的关键问题哦!”
她盯着手中的行动序列,指尖轻轻敲打着桌面。
“要是能找出这样的树,一定很有趣吧~”
题目描述
有根树 $R$ 的结点编号为互不相同的正整数,克露丝卡尔酱初始时位于 $R$ 的某个结点,她可以进行以下四种行动:
- 移动到父结点,记为 `p`
- 移动到任一子结点,记为 `c`
- 移动到任一编号更小的兄弟结点,记为 `l`
- 移动到任一编号更大的兄弟结点,记为 `r`
给定行动序列,判断是否存在 $R$,满足:通过恰当选择初始结点以及每次行动的目标结点,克露丝卡尔酱可以在进行所有行动后恰好回到初始结点。
注意:你应该保证你的构造在每一步操作均合法,例如:若当前位于根结点,则你不能进行 `p` 行动。
输入格式
**本题有多组测试数据。**
首先输入一行,包含一个整数 $T$($1\le T\le 10^5$),表示测试数据组数。
之后输入 $T$ 行,每行包含一个非空字符串,字符串中仅包含 `pclr` 四种字符,表示行动序列。
保证行动序列长度之和不超过 $10^5$。
输出格式
输出 $T$ 行,表示每组测试数据的结果。若存在题目要求的 $R$,输出 `Yes`,否则输出 `No`。
说明/提示
对于第一组以及第三组用例,可证明最终一定不会回到初始结点。
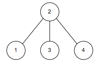
下图是满足第二组用例的一棵树,根结点编号为 $2$,初始结点编号为 $4$,行动过程为 $4\to 1\to 4$ 或 $4\to 3\to 4$。

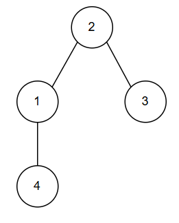
下图是满足第四组用例的一棵树,根结点编号为 $2$,初始结点编号为 $1$,行动过程为 $1\to 4\to 1\to 2\to 1$。
