P16310 [ICPC 2023 Jinan R] 开灯 2
题目描述
:::epigraph
Lux et Veritas
(光明与真知)
:::
受期待的宇宙杯(Universal Cup)决赛即将来临!小青鱼正在忙着准备比赛的场地。为了使得场地炫彩夺目,小青鱼计划悬挂一些电灯泡。
小青鱼有 $m$ 根电线,并打算用这些电线连接 $n$ 个灯泡。每根电线需要连接两个不同的灯泡,并使得所有灯泡形成一个连通块。为了安全起见,任意两个灯泡之间最多只能有一根电线把它们直接连起来,且每个灯泡最多只能连接 $d$ 根电线。
连接好灯泡后,小青鱼想要点亮其中一些灯泡。考虑到亮着的灯泡会产生热量,让两个相邻的灯泡同时点亮可能会有危险。因此,如果两个灯泡之间直接通过电线连接,则它们不能同时被点亮。另一方面,他也不想让灯光太少,所以他不希望看到一个灯泡没亮,且与之直接连接的所有灯泡也都没亮。
小青鱼非常好奇在这些限制条件下,能有多少种不同的方案来点亮这些灯泡。此外,他还想找到一种连接所有灯泡的方式,使得点亮灯泡的方案数量最大化。
给定整数 $m$ 与 $d$,您的目标是协助小青鱼来确定使用所有 $m$ 根电线连接 $n$ 个灯泡的最佳方式,最大化点亮灯泡的方案数。请注意,您需要自行确定 $n$ 的值。
输入格式
有多组测试数据。第一行输入一个整数 $T$($1 \leq T \leq 200$)表示测试数据组数,对于每组测试数据:
第一行输入两个整数 $m$ 与 $d$($2 \le m \le 20$,$2 \le d \le m$)。
输出格式
对于每组测试数据:
第一行输出一个整数 $w$($1 \leq w \leq 2^{m+1}$),表示最多可以有多少种方法点亮灯泡。
第二行输出一个整数 $n$($1 \leq n \leq m+1$),表示小青鱼需要使用的灯泡数量。
接下来输出 $m$ 行,其中第 $i$ 行输出两个由单个空格分隔的整数 $u_i$ 和 $v_i$($1 \le u_i, v_i \le n, u_i \neq v_i$),表示一条连接第 $u_i$ 个灯泡与第 $v_i$ 个灯泡的电线。
说明/提示
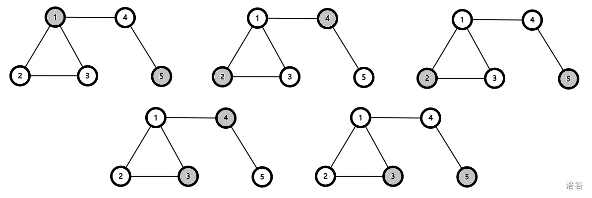
我们用涂色的圆圈代表点亮的灯泡。
对于第一组样例数据,$2$ 种点亮灯泡的方案如下图所示。
:::align{center}

:::
对于第二组样例数据,$5$ 种点亮灯泡的方案如下图所示。
:::align{center}

:::