SP32103 TREEDEGREE - Degree of a Tree
题目描述
mrm_196 有一种习惯,他总是用一个简单的数组来表示有根树,但这个数组需要满足四个条件:
1. 如果树有 $N$ 个顶点,数组的长度就是 $2N$。
2. 每个顶点在数组中用它的编号表示(编号范围从 $1$ 到 $N$),并且每个编号都出现两次(它们不一定连续)。
3. 在每个顶点编号的两次出现之间,会插入该顶点子树中的所有顶点的编号。
4. 编号为 $1$ 的顶点永远是树的根。
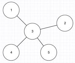
例如,以下图所示的树,mrm_196 可以用六种不同的方式进行存储:

可以表示为:
Tree = {1, 3, 2, 2, 4, 4, 5, 5, 3, 1}
Tree = {1, 3, 4, 4, 2, 2, 5, 5, 3, 1}
Tree = {1, 3, 5, 5, 4, 4, 2, 2, 3, 1}
Tree = {1, 3, 2, 2, 5, 5, 4, 4, 3, 1}
Tree = {1, 3, 4, 4, 5, 5, 2, 2, 3, 1}
Tree = {1, 3, 5, 5, 2, 2, 4, 4, 3, 1}
你的任务很简单,就是计算这棵树的度数,即所有顶点中度数的最大值。
输入格式
第一行输入一个整数 $T$,表示测试用例的数量($1 \le T \le 20$)。
每个测试用例的第一行有一个整数 $N$,表示树的顶点数($1 \le N \le 10^5$)。
接下来的第二行包含 $2N$ 个整数 $a_1, a_2, \ldots, a_{2N}$,表示这个数组的元素($1 \le a_i \le N$)。
保证每个给定的数组都能形成至少一棵有效的树。
输出格式
对于每个测试用例,输出一个整数,表示这棵树的度数。
**本翻译由 AI 自动生成**