SP8097 IOIISL08 - Islands
题目描述
你准备游览一个公园,该公园由 $N$ 个岛屿组成,当地管理部门从每个岛屿 $i$ 出发向另外一个岛屿建了一座长度为 $L_i$ 的桥。桥是可以双向行走的。同时,每对岛屿之间都有一艘专用的往来两岛之间的渡船。但相对于乘船而言,你更喜欢步行。你希望经过的桥的总长度尽可能长,但受到以下的限制:
- 你可以任意选择一个岛开始游览。
- 每一个岛都只能游览一次。
- 无论任何时间,你都可以从当前所在的岛 $S$ 去另一个从未到过的岛 $D$。从 $S$ 到 $D$ 有如下方法:
- 步行:**仅当两个岛之间有桥时才可以步行**。如果你选择步行,桥的长度会累加到你步行的总距离中。
- 渡船:你可以选择这种方法,仅当没有**任何桥和以前使用过的渡船的组合**可以由 $S$ 走到 $D$。
注意,你不必游览所有的岛,也可能无法走完所有的桥。
请你编写一个程序,给定 $N$ 座桥以及它们的长度,按照上述的规则,计算你可以走过的桥的长度之和的最大值。
输入格式
第一行包含一个整数 $N$,表示公园内岛屿的数目。
随后的 $N$ 行每一行用来表示一个岛。第 $i$ 行由两个以空格分隔的整数,表示由岛 $i$ 筑的桥。第一个整数表示桥另一端的岛,第二个整数表示该桥的长度 $L_i$。
输出格式
一个整数,表示可能的最大步行距离。
## 样例
### 样例输入
```
7
3 8
7 2
4 2
1 4
1 9
3 4
2 3
```
### 样例输出
```
24
```
说明/提示
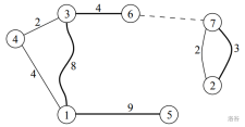
**样例解释**:

一共有 $7$ 座桥,如图所示。注意连接岛 $2$ 与岛 $7$ 之间有两座不同的桥。
其中一个可以取得最大的步行距离的方法如下:
- 由岛 $5$ 开始。
- 步行长度为 $9$ 的桥到岛 $1$。
- 步行长度为 $8$ 的桥到岛 $3$。
- 步行长度为 $4$ 的桥到岛 $6$。
- 搭渡船由岛 $6$ 到岛 $7$。
- 步行长度为 $3$ 的桥到岛 $2$。
最后,你在岛 $2$,你的总步行距离为 $9+8+4+3=24$。
只有岛 $4$ 没有去。因为上述游览结束时,无法游览此岛。原因如下:
- 你不可以步行去游览,因为没有桥连接岛 $2$ (你现在的岛) 与岛 $4$。
- 你不可以搭渡船去游览,因为你可由当前所在的岛 $2$ 到达岛 $4$。一个方法是:走 $(2-7)$ 桥,再搭你曾搭过的渡船由岛 $7$ 去岛 $6$,然后走 $(6-3)$ 桥,最后走 $(3-4)$ 桥。
对于 $100\%$ 的数据,$2\le N\le 10^6,1\le L_i\le 10^8$。