SP9644 IMPER - Imperialism
题目描述
人类对征服和扩张的野心在地球和整个宇宙中都是众所周知的。在名为“Imperius”的星球上,一系列堡垒相继建成。除了第一个堡垒外,每个新建的堡垒都会通过一条直接路径连接到一个之前建造的堡垒,以促进商业交流。
Imperius 曾经是宇宙中最和平、最繁荣的星球之一,直到有一天停止了建堡。这时,星球上出现了 **N** 个不同的帝国(编号从 1 到 **N**),每个帝国控制着一个不同的堡垒。随着征服欲望的蔓延,每年会有一个帝国征服它的所有相邻帝国,并接管他们控制的所有堡垒。如果两个帝国之间的堡垒通过路径相连,且这些堡垒分别由两个不同的帝国控制,那么这两个帝国被认为是相邻的。
最后,只会有一个帝国完全控制所有堡垒。你的任务是计算出实现这一目标所需的最小年数。
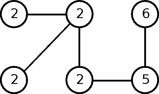
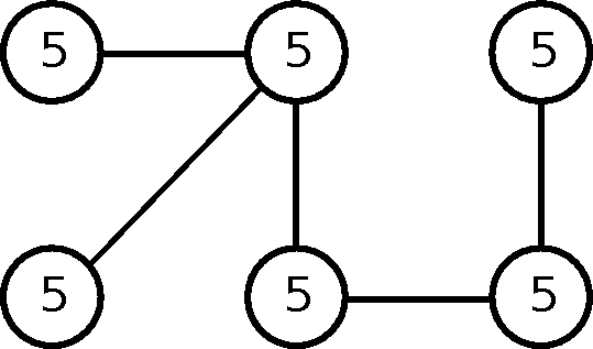
例如,下图左侧展示了一个可能的情景,六座堡垒分别被六个不同的帝国占领,每个堡垒标记有该帝国的编号。如果第一年帝国 2 征服了所有邻国,那么局势会如中图所示。最终,帝国 5 在征服它邻近的帝国之后,将统治所有堡垒,如右图所示。
  
输入格式
输入包含若干组测试数据。每组测试数据由两行构成。第一行包含一个整数 **N**(2 ≤ **N** ≤ 10,000),表示 Imperius 星球上的堡垒数量。第二行包含 **N**-1 个整数 **P\_i**,表示堡垒 **i**+1 连接到堡垒 **P\_i**(1 ≤ **P\_i** ≤ **i**,对于 1 ≤ **i** ≤ **N**-1)。输入的最后一行为 -1,表示输入的结束,不处理为测试数据。
输出格式
对于每组测试数据,输出一行,一个整数,表示实现一个帝国控制所有堡垒所需的最少年数。
**本翻译由 AI 自动生成**