U133997 取模mod
题目背景
方程组_中国剩余定理_高精度 大连
题目描述
_有物不知其数,三三数之剩二,五五数之剩三,七七数之剩二。问物几何?——《孙子算经》_
------------
无论如何,你肯定能找到这个问题的一些解,比如23,233,2333,2333等等都是它的解。当然,最小正整数解是23。
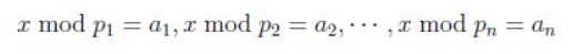
现在我们有一个类似的问题:有一个数x,它满足以下n个等式:

其中,Pi表示第i小的质数,即p1=2,p2=3,……;并且,对于任意的满足0≤ai
输入格式
输入文件为mod.in第一行有两个整数n和m接下来n行,每行有一个整数,依次为a1,a2,…,an。保证任意的满足0≤ai
输出格式
输出文件为mod.out输出m行,每行有一个整数,依次为x对b,b1,b2,…,bm取模的结果。
说明/提示
