U138346 统治王国
题目背景
某日午后,$Seaway$一觉醒来,发现自己穿越到了蒟蒻王国,并当上了蒟蒻王国的国王......在反穿越失败后,$Seaway$接受了这个事实,并尝试着统治这个王国......
题目描述
蒟蒻王国一共有$N$个城市,$N-1$条可以双向通行的链接两个城市的道路,每条道路的长度相等。并且,蒟蒻王国的所有城市间两两可达。$Seaway$的王宫位于$1$号城市。为了统治蒟蒻王国,$Seaway$需要出宫巡视;并且,为了展现自己对底层人民的关怀,$Seaway$只关心自己到达了多少“偏远城市”,偏远城市的定义是:只有一条路与外界相连的城市。但是,贵为一国之王,$Seaway$的巡视路线要遵循王室的标准,在每座他停留的城市,他只能选择两种方式继续巡视:
第一种:如果当前城市不是偏远城市,那么去往当前城市下辖的任意一个偏远城市。这里的下辖指:除了王宫方向之外的所有方向。
第二种:如果当前城市是偏远城市,那么他可以向着王宫的方向巡视不超过$K$个城市。
特别地,因为$1$号城市是王宫所在,所以即便1号城市只有一条路与外界相连,它也不属于偏远城市。
作为蒟蒻王国的总会计师,$Seaway$要你帮他规划出:他此次巡视最多能巡视多少偏远城市。
由于答案可能较大,请输出答案对$998244353$取模的结果。
输入格式
从文件$kingdom.in$中读入数据。
第一行包括两个整数$N,K$,
第二行包含$N-1$个整数,第$i$个整数$f_i$表示第$i+1$号城市的上级城市。输入保证$1$号城市是所有城市的上级。
输出格式
输出到文件$kingdom.out$中。
仅一行一个整数,表示可以巡视的最多偏远城市数对$998244353$取模的结果。
说明/提示
【**样例1解释**】
王国地图:

在这个王国,$Seaway$可以选择如下巡视路线:$1-2-1-5-3-7-4-6$。
【**样例2解释**】
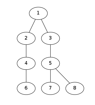
王国地图:

在这个王国,$Seaway$可以选择如下巡视路线:$1-7-5-8$。
【**数据范围**】
对于$4\%$的数据,有$f_i=i-1$。
对于另$4\%$的数据,有$f_i=1$。
对于另$12\%$的数据,有$1\le N\le 10$。
对于另$40\%$的数据,有$1\le N\le 2\times 10^3$。
对于全部数据,有$1\le K