U140603 树的平均
题目背景
$Seaway$太菜了。当大佬们都在爆切插头DP,计算几何,反演,Matrix-Tree的时候,$Seaway$连最基本的搜索都打不对......
菜归菜,$Seaway$还是有一些基本常识的:他知道,对于一棵有根树,可以进行两种不同的遍历方式:DFS和BFS。这两种遍历方式在遍历过程中会分别生成两种序列:DFS序和BFS序。$Seaway$惊奇地发现:对于两棵不同的树,它们的DFS序有可能相同,它们的BFS序同样有可能相同。$Seaway$大呼绝妙,并觉得这里大有文章可做。
题目描述
现在,$Seaway$给出一个DFS序和一个BFS序。他想知道,在符合这两个限制条件的所有有根树中,树的高度的平均值。即:假如有$N$棵不同的树具有这组$DFS$序和$BFS$序,且它们的高度分别为:$h_1,h_2,\cdots,h_n$,那么请你求出下式的值:
$$
\frac{\sum_{i=1}^{i=N}h_i}{N}
$$
这里的树的高度是指:树的最深深度。
输入格式
从文件$average.in$中读入数据。
第一行一个整数$N$,表示树的节点个数。
第二行有一个$1-N$的排列,描述树的DFS序。
第三行有一个$1-N$的排列,描述树的BFS序。
输出格式
输出到文件$average.out$中。
一行输出一个实数,保留三位小数。表示答案。你能够获得本测试点的分数,当且仅当你的答案与标准输出的差的绝对值小于等于$0.001$。
说明/提示
【**样例1解释**】
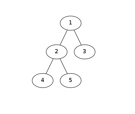
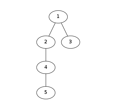
符合这两个序列限制的树有两种,其形态如下:


【**数据范围**】
对于$20\%$的数据,$1\le N\le 10$。
对于$ 40\%$的数据,$1\le N\le 100$。
对于$85\%$的数据,$1\le N\le 2000$。
对于全部数据, 有$1\le N\le 3\times10^5$。