U371681 你已经无处可逃了!
题目背景
看清楚题面。
题目描述
小 A 因为在大学里逃课,在大学的小路上编号为 $1$ 的路口被老师抓住了。
小 A 现在想逃跑。
小 A 希望你能帮帮他,判断能不能跑到安全的路口?**已知有且只有第 $n$ 个路口是安全的。**
如果可以,请输出 `Yes`, 否则输出 `No`。
### 详细内容
现在已知这个区域一共有 $n$ 个路口,$m$ 段道路。
第 $i$ 条道路连接第 $u_i$ 号路口和第 $v_i$ 号路口。
但是,由于老师封锁了部分道路,因此有 $x$ 条道路已经无法通行了。
现在有 $T$ 个询问。
对于第 $i$ 个询问,已知:
- 有 $x_i$ 条道路被老师封锁。
- 第 $j$ 条被封锁的路段为从 $u_j$ 到 $v_j$ 这一段。
- 如果这一段道路不存在,则(对于这个$j$)不需要进行任何操作。
**注意:道路是双向的。**
现在,你要对于每个询问,判断小A能不能跑到安全的路口?**已知有且只有第 $n$ 个路口是安全的。**
如果可以,请输出 `Yes`, 否则输出 `No`。
输入格式
第一行三个整数 $n, m, T$。
接下来 $m$ 行:
- 每行两个整数,分别表示 $u_i, v_i$。(保证$u_i \neq v_i$)
接下来 $2T$ 行:
- 第一行一个整数 $x_i$。
- 接下来 $x_i$ 行:
- 每行两个整数,分别表示 $u_j, v_j$。
保证 $1 \le n \le 1000$, $0 \le m \le 10000$, $1 \le T \le 10$, $u_i \neq v_i$, $1 \le u_i, v_i \le n$,$0 \le x_i \le 1000$, 没有重复的边。
输出格式
共 $T$ 行。
- 每行一个`Yes`/`No`,表示答案。
说明/提示
## 样例解释
### 样例解释 #1
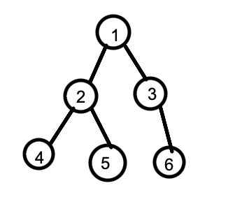
一开始这个图还是联通的(图1),但后来删除了$3 \leftrightarrow 6$ 这条边,导致不联通了(图2).


因此,输出 `No`。
### 样例解释 #2
本来这张图就是不联通的,所以两组询问结果都是 `No`。