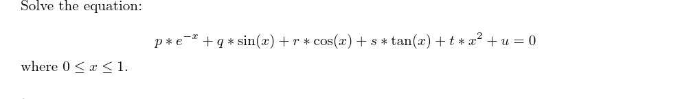
UVA10341 Solve It
Description
[problemUrl]: https://uva.onlinejudge.org/index.php?option=com_onlinejudge&Itemid=8&category=15&page=show_problem&problem=1282
[PDF](https://uva.onlinejudge.org/external/103/p10341.pdf)

Input Format

Output Format
