UVA10413 Crazy Savages
Description
[problemUrl]: https://uva.onlinejudge.org/index.php?option=com_onlinejudge&Itemid=8&category=16&page=show_problem&problem=1354
[PDF](https://uva.onlinejudge.org/external/104/p10413.pdf)

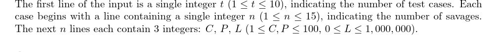
Input Format

Output Format
