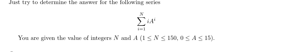
UVA10523 Very Easy !!!
Description
[problemUrl]: https://uva.onlinejudge.org/index.php?option=com_onlinejudge&Itemid=8&category=17&page=show_problem&problem=1464
[PDF](https://uva.onlinejudge.org/external/105/p10523.pdf)

Input Format

Output Format
