UVA10579 Fibonacci Numbers
Description
[problemUrl]: https://uva.onlinejudge.org/index.php?option=com_onlinejudge&Itemid=8&category=17&page=show_problem&problem=1520
[PDF](https://uva.onlinejudge.org/external/105/p10579.pdf)

Input Format

Output Format

Explanation/Hint
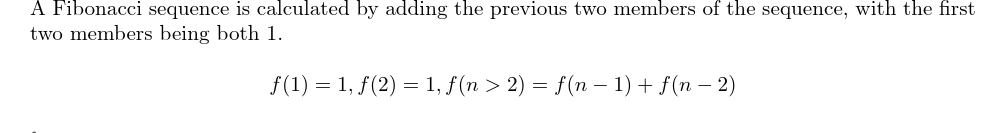
Note: No generated fibonacci number in excess of 1000 digits will be in the test data, i.e. f (20) = 6765
has 4 digits.