UVA10847 Basic Tautologies
Description
[problemUrl]: https://uva.onlinejudge.org/index.php?option=com_onlinejudge&Itemid=8&category=20&page=show_problem&problem=1788
[PDF](https://uva.onlinejudge.org/external/108/p10847.pdf)

Input Format

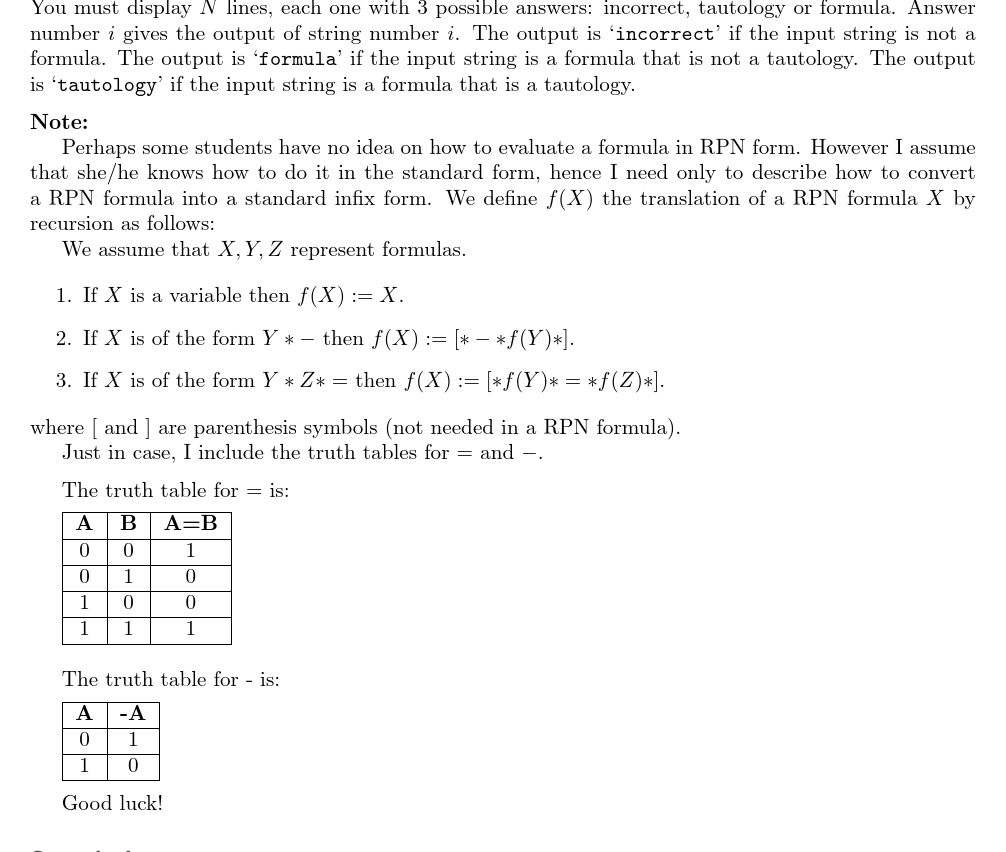
Output Format
