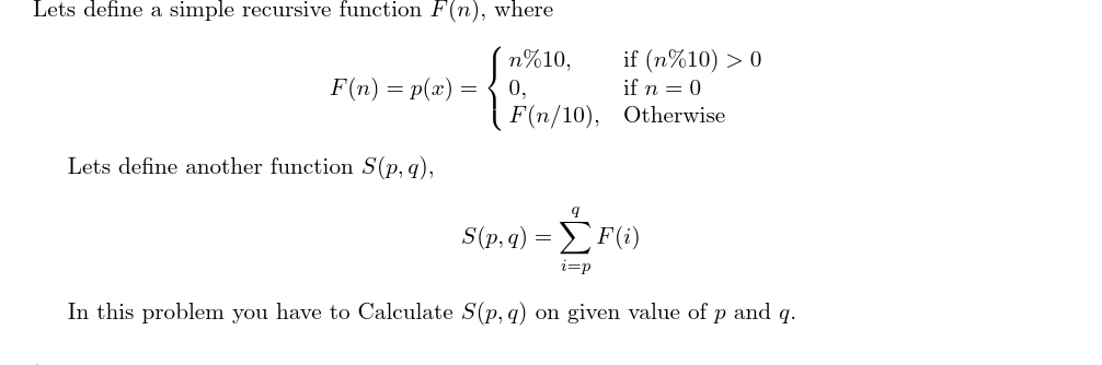
UVA10994 Simple Addition
Description
[problemUrl]: https://uva.onlinejudge.org/index.php?option=com_onlinejudge&Itemid=8&category=21&page=show_problem&problem=1935
[PDF](https://uva.onlinejudge.org/external/109/p10994.pdf)

Input Format

Output Format
