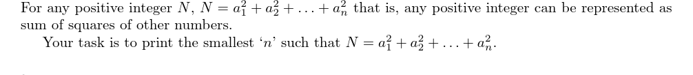
UVA11407 Squares
Description
[problemUrl]: https://uva.onlinejudge.org/index.php?option=com_onlinejudge&Itemid=8&category=26&page=show_problem&problem=2402
[PDF](https://uva.onlinejudge.org/external/114/p11407.pdf)

Input Format

Output Format
