UVA11698 Code Permutations

Description

[problemUrl]: https://uva.onlinejudge.org/index.php?option=com_onlinejudge&Itemid=8&category=78&page=show_problem&problem=2745 [PDF](https://uva.onlinejudge.org/external/116/p11698.pdf) ![](https://cdn.luogu.com.cn/upload/vjudge_pic/UVA11698/b661f82a33abd15ccd2c033c2459326a77a214e5.png)

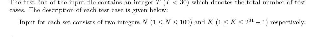
Input Format

![](https://cdn.luogu.com.cn/upload/vjudge_pic/UVA11698/5e69c081d94ed0eaf732dc79ebace6ed439ebf27.png)

Output Format

![](https://cdn.luogu.com.cn/upload/vjudge_pic/UVA11698/fd68ce13614384deff393434a8bf0f55ea3cfcf4.png)