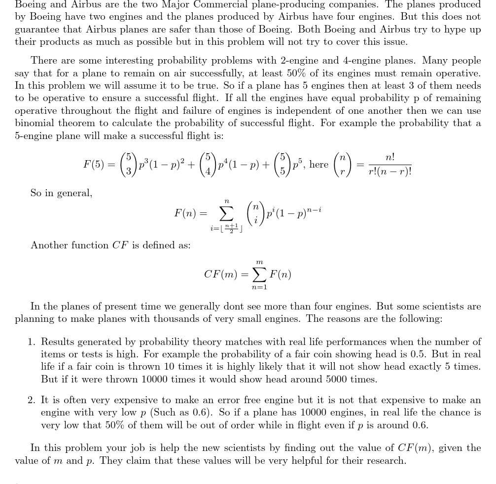
UVA11864 Probability Calculation
Description
[problemUrl]: https://uva.onlinejudge.org/index.php?option=com_onlinejudge&Itemid=8&category=226&page=show_problem&problem=2964
[PDF](https://uva.onlinejudge.org/external/118/p11864.pdf)

Input Format

Output Format
