UVA11889 Benefit
Description
[problemUrl]: https://uva.onlinejudge.org/index.php?option=com_onlinejudge&Itemid=8&category=226&page=show_problem&problem=2989
[PDF](https://uva.onlinejudge.org/external/118/p11889.pdf)

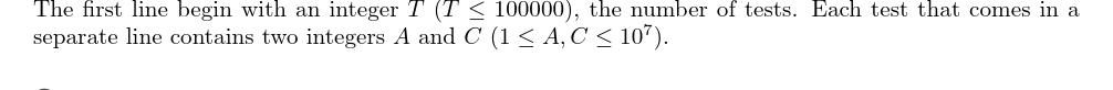
Input Format

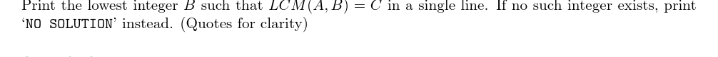
Output Format
