UVA12751 An Interesting Game
Description
[problemUrl]: https://uva.onlinejudge.org/index.php?option=com_onlinejudge&Itemid=8&category=823&page=show_problem&problem=4604
[PDF](https://uva.onlinejudge.org/external/127/p12751.pdf)

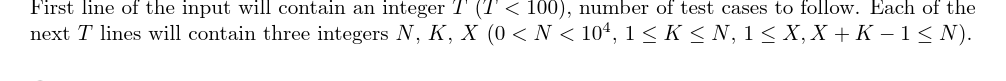
Input Format

Output Format
