UVA13002 Just Some Permutation 5
Description
[problemUrl]: https://uva.onlinejudge.org/index.php?option=com_onlinejudge&Itemid=8&category=866&page=show_problem&problem=4890
[PDF](https://uva.onlinejudge.org/external/130/p13002.pdf)

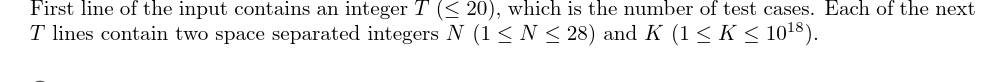
Input Format

Output Format
