UVA13274 Christmas Tree
Description
[problemUrl]: https://uva.onlinejudge.org/index.php?option=com_onlinejudge&Itemid=8&category=878&page=show_problem&problem=5198
[PDF](https://uva.onlinejudge.org/external/132/p13274.pdf)

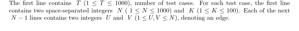
Input Format

Output Format
