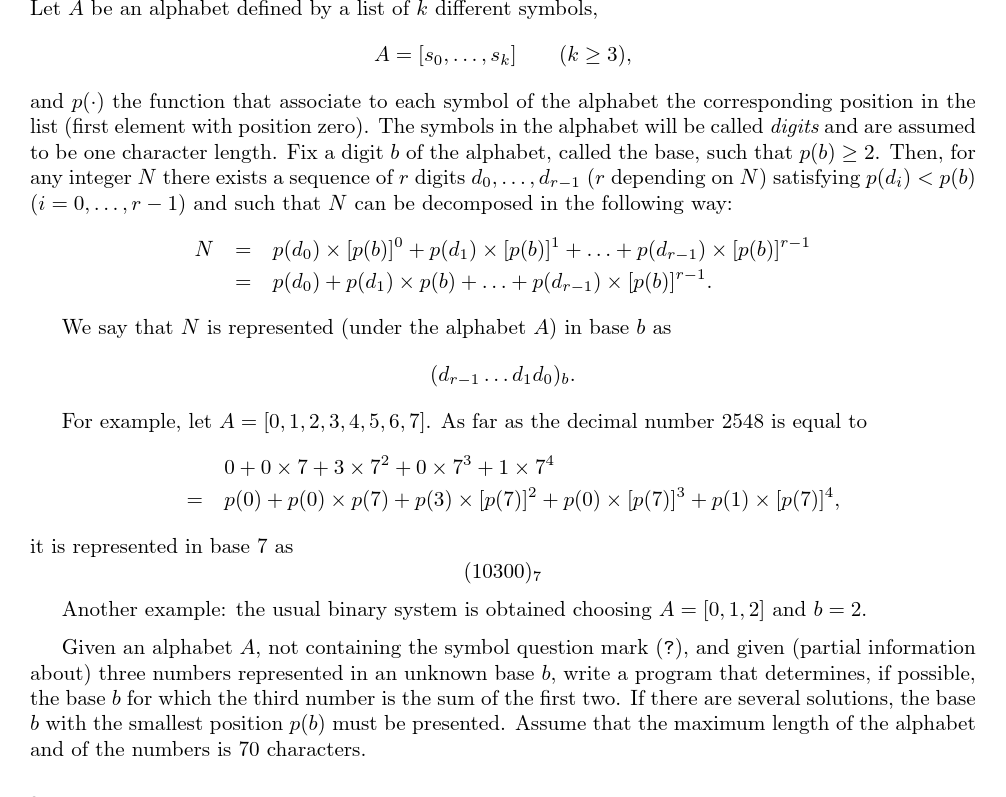
UVA826 Symbolic Numerical System
Description
[problemUrl]: https://uva.onlinejudge.org/index.php?option=com_onlinejudge&Itemid=8&category=10&page=show_problem&problem=767
[PDF](https://uva.onlinejudge.org/external/8/p826.pdf)

Input Format

Output Format
