UVA860 Entropy Text Analyzer

Description

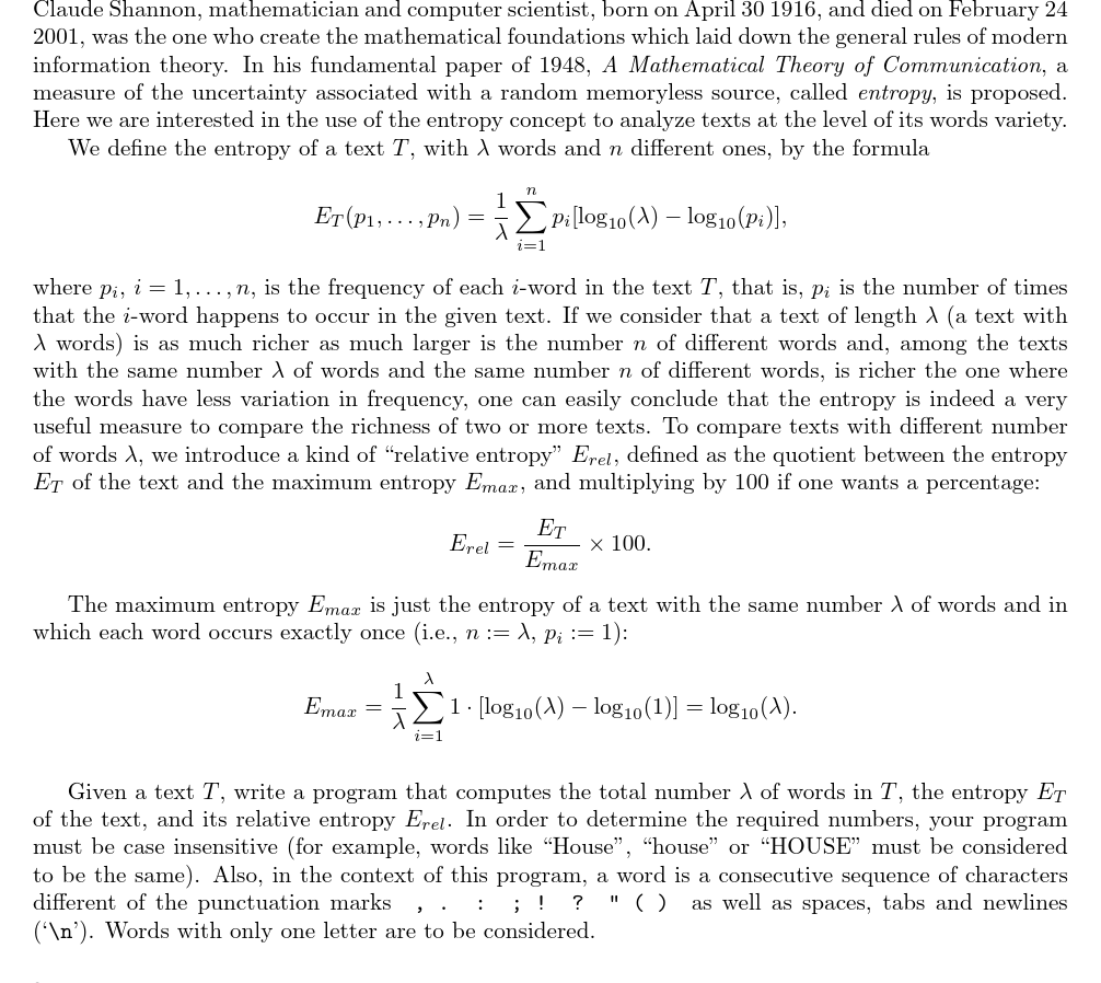
[problemUrl]: https://uva.onlinejudge.org/index.php?option=com_onlinejudge&Itemid=8&category=10&page=show_problem&problem=801 [PDF](https://uva.onlinejudge.org/external/8/p860.pdf) ![](https://cdn.luogu.com.cn/upload/vjudge_pic/UVA860/73631bb56ac33880bc45b64deedac53ec34d9fa6.png)

Input Format

![](https://cdn.luogu.com.cn/upload/vjudge_pic/UVA860/1c1f07122cca102d9e8092f0cc248a8883b01184.png)

Output Format

![](https://cdn.luogu.com.cn/upload/vjudge_pic/UVA860/c4cbfacf560e4113aa4336459f3fd3fb16c4c9e5.png)